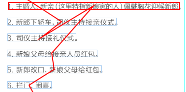
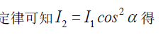
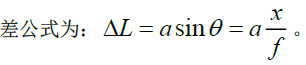
## <font color=#CC0000>一、对整本书的预览</font> 1.先检查数据源有没有问题,数据源有问题的书直接打回让校对放弃 可参考http://www.iremaker.com/college/article/detail?id=304 2.全书通篇预览一下,主要看一下这本书的类型(纯文字、图文书、漫画)、整本书的识别情况 <br/> ## <font color=#CC0000>二、视图栏多余的页面有没有删除</font> ☞ 在“视图栏”除正文外多余的页面需要删除,删除后显示为灰色,一般在书的开头和结尾处 ☞ 一般包括封面、扉页、版权页、目录、书最后的广告页 <div align=center></div> <br/> **<font color=#666666>注:一本书最前面的内容提要、内容简介都要保留,这些内容部分放在了版权页中,在删除版权页的时候,注意这些不要被误删除</font>** <br/> <div align=center></div> <font color=#CC0000> </font> ## <font color=#CC0000>三、目录</font> ☞ 先看原pdf的目录和校对设置的目录的一致性 ☞ 一般情况下校对设置一级、二级标题即可(特殊情况也有三级标题、看情况而定) <br/> <font color=#FF0000>**★目录容易出现的几点问题**</font> 1.目录设置层级会乱 2.目录不完整,有标题漏提取 3.目录中的标题格式不规范(章节中缺少空格) <font color=#CC0000> </font> ## <font color=#CC0000>四、段落文本</font> ##### 1.段落顺序 ☞ 通过校对里显示的红线,可以清晰看到文本的顺序 | <div align=center></div> | <div align=center></div> | | :------------: | :------------: | | 拆分小段落的顺序错误 | 段落和图片顺序错乱 | ##### 2.内容缺失 第一种情况内容无法未识别出来,第二种情况文本内容被误删 <div align=center></div> ##### 3.首尾段未正常合并、段落未正常拆分 段落未拆分(尤其是带小标题的书,排版时用正则式搜索效率太低) | <div align=center></div> | <div align=center></div> | | :------------: | :------------: | | 段落未正常合并 | 段落未正常拆分 | ##### 4.注释 ☞ 注释是否关联、关联是否有误 ☞ 注释在当页或在章节最后,都要关联(如有一些特殊的关联不上,需要给排版标注) ☞ 注释的前面的编号,如果也被识别进去,(可以不用单个去改,需要给排版标注) ☞ 如果多个角标共用一个注释,则每一个角标都要关联一次该注释。 ☞ 古诗、古文下方的注释不需要关联,按顺序放在下方即可。 | <div align=center></div> | <div align=center></div> | | :------------: | :------------: | | | | <br/> ## <font color=#CC0000>五、段落刷版</font> ##### 1.落款 | <div align=center></div> | <div align=center></div> | | :------------: | :------------: | | 原书样式 | 刷落款样式并且段落要拆分开 | ##### 2.书信开头 | <div align=center></div> | <div align=center></div> | | :------------: | :------------: | | 刷书信开头样式 | 刷书信开头样式 | ##### 3.楷体段、序言后记段、诗歌段 ☞ 前言、序言、后记都要刷序言后记段落的样式 ☞ 对照原书,看有没有漏刷、误刷的样式或批量替换错的段落样式 ☞ 诗歌的样式设置是否合理(居左、居中) <br/> ## <font color=#CC0000>六、特殊文本</font> ##### 1.角标 文中出现的角标,看它的显示 ##### 2.首字下沉 ##### 3.乱码 ☞ 原pdf就存在乱码,在提交时一定要备注乱码类型,便于排版批量替换 ☞ 原pdf显示没问题,识别出来是乱码,提交时也要备注 ##### 4.下划线、填空的下划线 | <div align=center></div> | <div align=center></div> | | :------------: | :------------: | | 填空的下划线,识别不准确的,校对需要加上 | 文字下划线,把具体位置标注给排版即可 | <br/> ## <font color=#CC0000>七、图片相关的设置</font> ##### 1.行内图 | <div align=center></div> | <div align=center></div> | | :------------: | :------------: | | 可以用文字和角标表示出来的不用截图 | 不能用文字表示出来的需要截行内图 | **<font color=#666666>注:截取行内图的时候,尽量贴着边截,不要留太多空白;截图要完整</font>** ##### 2.图题、图注 ☞ 图题和图注是否都关联上,关联是否有漏掉的 ☞ 图注图题未关联,尤其是PDF中图注跨页或掉页的,会出现缺图注的现象 ##### 3.图片表格 图片表格未合并 ##### 4.截图 ☞ 生僻字(书里的生僻字一半会显示为空格或直接丢掉,这样的生僻字需要校对截图处理) ☞ 有关序列号超过10的(比如⑪⑫⑬⑭)、圈a圈b,类似这样的符号,校对时需要截图处理 ☞ 公式、表格、识别不出来的图片、图片上带字的只识别了图片,这些都需要截图处理 ##### 5.图片 ☞ 图片顺序是否正确 ☞ 有没有少图 ☞ 多余的装饰图需要删掉 ☞ 图片摆放(新发版的iremaker会把图片的大小和位置自动识别一遍,有个别不合理的需要单独调整) ☞ PDF中跨页的图片未合并(标注给排版即可) ## <font color=#CC0000>八、特殊类型的书</font> 这几种特殊类型的书(竖排、双栏、英文、漫画),要特殊注意校对的顺序、截图是否合理